Studying the spatial distribution of proteomes in cells is of great significance for elucidating many molecular mechanisms in cell biology. In recent years, proximity chemical labeling technology represented by APEX (The engineered ascorbate peroxidase) has developed rapidly, achieving proximity labeling of proteins and RNA in specific spatial regions within a...
5-methylcytosine modification (5mC) is one of the important epigenetic modifications in eukaryotic cell genomes. 5mC can be gradually oxidized to 5-hydroxymethylcytosine (5hmC), 5-aldehydecytosine (5fC) and 5-carboxycytosine (5caC) under the action of TET family enzymes; for the above-mentioned several new DNA modifications Functional research is currently a hot spot in nucleic...
Carbodiimide (R1-N=C=N-R2) is a novel organic synthon with a special azaalne structure and electronic properties. Therefore, it exhibits novel and rich reaction characteristics. It was previously reported that the two active sites of carbodiimide are the central carbon atom and the C=N double bond. Professor Zhang Wenxiong’s research group from...
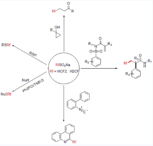
Fluorine-containing molecules have been widely used in modern medicines, pesticides and materials. For example, the selective addition of a fluoroalkyl group to drugs or bioactive molecules often significantly alters their metabolic stability, lipophilicity, and bioactivity. Therefore, there has been considerable interest in developing new and efficient methods...
Fluorine is an important non-metal element. Due to its unique electronegativity, electronic effect and steric hindrance effect, fluorine atoms are often introduced into drugs to regulate drug metabolism pathways, improve metabolic stability and permeability, etc., and have been More than 20% of drugs and pesticides on the...
Chiral sulfoxide compounds are key intermediates in the synthesis of many drugs, such as the proton pump inhibitor esomeprazole, the platelet adhesion inhibitor OPC-29030, the potassium channel activator Aprikalim, etc., and are widely used in drug synthesis. application. At the same time, chiral sulfoxide is also an...
