Product Name
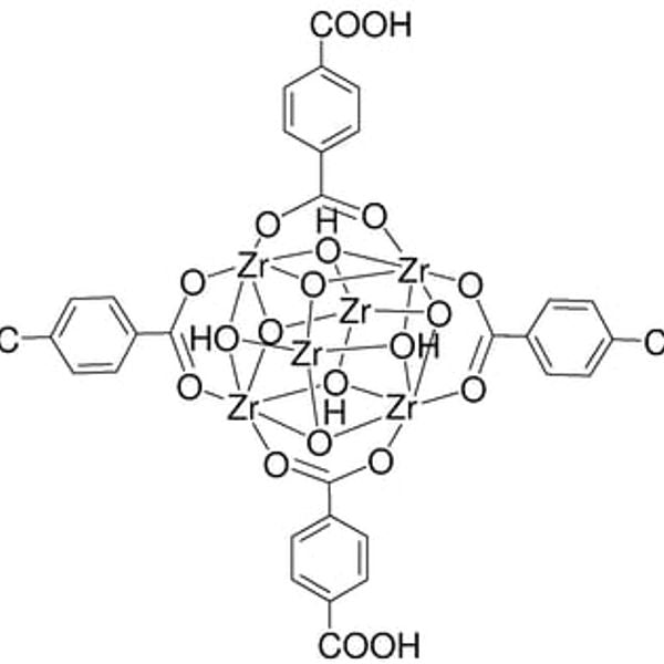
Zirconium benzenedicarboylate MOF (UiO-66-BDC, BDC:Zr=0.66-0.98)
Brand Name
US-Strem
Product Number
40-1108
Certificate of Analysis (COA)
COA not found
