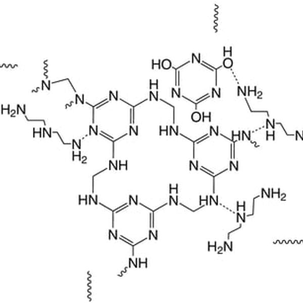
Product Name
Diethylenetriamine loaded cyanuric acid doped porous melamine formaldehyde resin, POP, AYRSORB? P151
Brand Name
US-Strem
Product Number
07-9500
CAS
2222446-49-1
Certificate of Analysis (COA)
COA not found
