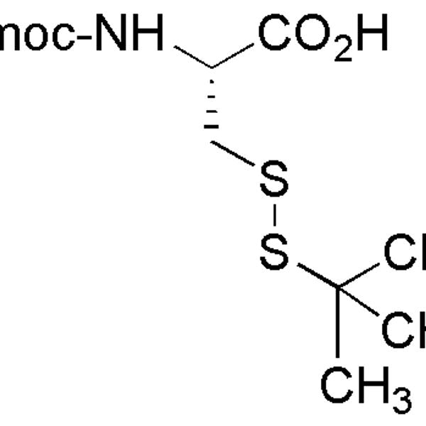
| Product Number | 02403 |
| CAS # | 73724-43-3 |
$55.10
Available on backorder. No lead time available. Please request a quote.
Sku CI02403_1_G
Chem Impex
General Details
Physical Properties
| Purity | Purity by HPLC ≥ 98% |
Shipping & Stability
| Safety | Yes |
