Fluorine is an important non-metal element. Due to its unique electronegativity, electronic effect and steric hindrance effect, fluorine atoms are often introduced into drugs to regulate drug metabolism pathways, improve metabolic stability and permeability, etc., and have been More than 20% of drugs and pesticides on the market contain one...
Trifluoromethylthio group is one of the most lipophilic groups. Introducing it into small molecule compounds can significantly enhance the ability of molecules to penetrate lipid membranes and increase the absorption rate in the body (Figure 1). Therefore, incorporating trifluoromethyl sulfide (CF3S) into drug candidates has become an important strategy for...
In recent years, the synthesis and application of aromatic hydrocarbons with zigzag rings connected head to tail by benzene rings have been widely explored. Extended zonal hydrocarbons replace part of the six-membered rings in zonal hydrocarbons with non-six-membered rings, and have attracted much attention due to their unique structures. Figure...
Heterocalixarene and crown arene are two new types of synthetic macrocyclic main molecules. Heterocalixarene has a finely adjustable 1,3-alternating conformation structure and V-shaped macrocyclic cavity [1], and crown arene has a cylindrical shape. Heterocalixarenes and crownarenes composed of cavities, different heteroatoms, aromatic rings and aromatic heterocycles exhibit rich and unique...
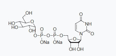
Sugar nucleotides are formed by connecting the reducing end of a monosaccharide to the terminal phosphate group of a nucleoside diphosphate (or nucleoside monophosphate), and are the activated form of a monosaccharide. It can serve as a donor substrate for glycosyltransferases and participate in the enzymatic synthesis of complex oligosaccharides...
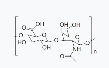
Hyaluronan (HA) and chondroitin (CH) are two important glycosaminoglycans that are widely present on the cell surface and extracellular matrix. They can interact with cytokines, cell adhesion molecules, selectins, and enzymes to regulate intracellular signaling pathways [1]. At the same time, it is also widely used in medicine, cosmetics and...
